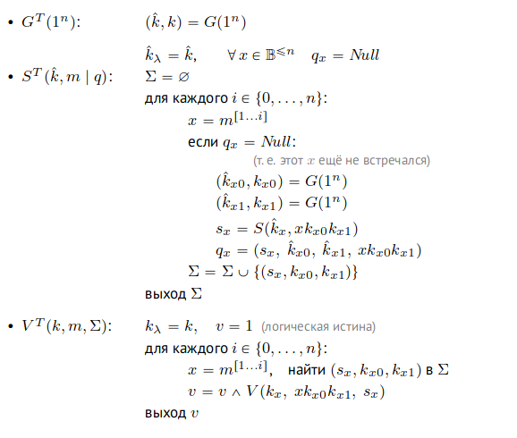
Pasted image 20230116134119.png Pasted image 20230116134200.png