Функан

Теорема Хана-Банаха ? Pasted image 20220407164027.png

Следствие 1 из теоремы Хана-Банаха ? Pasted image 20220407164126.png

Следствие 2 из теоремы Хана-Банаха ? Pasted image 20220407164152.png

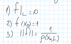
Следствие 3 из теоремы Хана-Банаха ? Pasted image 20220407164224.png

Следствие 4 из теоремы Хана-Банаха ? Pasted image 20220407164243.png

Следствие 1 из теоремы Хана-Банаха Pasted image 20220407164323.png ? Pasted image 20220407164333.png

Отображение Банаха

Рефлексивное пространство ? $Im \Phi = X^{**}$. Всегда Банахово

Банахово пространство ? Полное ЛНП

Теорема джеймса ? Рефлексивно тогда и только тогда, когда любой функционал достигает нормы

Теорема Рисса-Фреше ? Pasted image 20220407170224.png

Как связаны гильбертовость и рефлексивность ? Pasted image 20220407170259.png

Слабая сходимость ? Pasted image 20220407170630.png

Когда сильная сходимость влечет слабую ? Всегда

Когда слабая сходимость влечет сильную ? Когда пространство конечномерное. Еще в $l_1$ (Th Шура)

Слабая-* сходимость ? Pasted image 20220407171002.png

Как связаны слабая и слабая-* сходимости на $X^{*}$ ? Pasted image 20220407171312.png

Как связаны ограниченность по норме и слабая сходимость ? Pasted image 20220407171645.png

Теорема Банаха Тихонова ? Pasted image 20220407172100.png

Теорема Мазура ? Pasted image 20220407172148.png

Теорема Банах Алаогру ? Pasted image 20220407172228.png

Почему сепарабельность важна в теореме Банаха Алаогру ? Есть несепарабельное пространство $l_{\infty}$